在第十二屆中國國際光熱大會暨CSPPLAZA年會上,酒泉鋼鐵(集團)有限責任公司不銹鋼研究所劉天增發表了關于酒鋼高溫熔鹽儲罐用鋼及下一代研發進展的主題報告,系統介紹了酒鋼在該領域的技術突破與產業實踐。

圖:劉天增
1
多元化鋼鐵巨頭的技術積淀
酒鋼始建于1958年,作為西北地區建設最早、規模最大的多元化國有全資企業集團,已形成鋼鐵、有色、電力能源等六大產業板塊。其下屬宏興鋼鐵股份公司擁有嘉峪關本部、蘭州榆中兩大生產基地,具備年產粗鋼1105萬噸(含不銹鋼120萬噸)的能力,2000年在上海證券交易所上市。

在不銹鋼領域,酒鋼不銹鋼分公司是國內第三家擁有從煉鋼、熱軋到冷軋完整配套的全流程不銹鋼生產企業,現已形成120萬噸板坯、110萬噸熱軋黑卷、100萬噸不銹鋼熱軋酸洗產品、60萬噸不銹鋼冷軋酸洗產品和15萬噸不銹鋼中厚板產品的生產能力。產品通過歐盟PED4.3認證并取得中國、挪威、德國、法國、英國船級社生產資質,成為中核、中石油、中石化、中海油一級合格供應商。

酒鋼不銹鋼產品覆蓋鐵素體、馬氏體、雙相鋼、奧氏體四大系列,應用場景廣泛:430鐵素體不銹鋼成為宜家餐廚具專供產品,此外還長期穩定供貨于小天鵝、海爾、老板、美的等知名品牌家電制造;奧氏體不銹鋼方面,酒鋼347H產品在600℃/120h硝酸熔鹽中比國外同類產品具有更低的腐蝕速率,廣泛用于電站、鍋爐、爐窯、化工等行業領域;雙相鋼2205全面供應白鶴灘水電站,超級雙相2507具備全規格生產能力,屬于國內領先水平;核用不銹鋼方面,QA1級核電不銹鋼材料供貨量達1.5萬噸,特別是酒鋼研發的第四代鈉冷快堆用316H不銹鋼已應用于國家重點工程福建霞浦600MW示范快堆項目,破解了“卡脖子”難題。
2
酒鋼347H不銹鋼:熔鹽儲罐用鋼的標桿產品
劉天增重點闡述了酒鋼347H奧氏體耐熱不銹鋼的研發與應用成果。該產品嚴格遵循ASTM A240標準,通過優化成分控制,將硫含量降至0.001%以下。對比分析國外夾雜物類型及數量,酒鋼夾雜物控制較國外產品更優。

在性能表現上,酒鋼347H產品展現出卓越的力學性能:室溫下抗拉強度達608MPa,屈服強度265MPa,斷后伸長率52%;593℃高溫環境下,屈服強度146.5MPa、抗拉強度385MPa,遠超行業137MPa和280MPa的要求。
高溫蠕變性能方面,與北京科技大學合作的蠕變試驗顯示,593℃時母材蠕變極限74MPa,焊縫71MPa,意味著酒鋼產品滿足可長期在565℃(熱)范圍內穩定使用,同時具備最低不小于70MPa應力水平行業要求條件。

圖:酒鋼347H室溫力學性能標準要求

圖:酒鋼347H高溫力學性能要求
高溫持久性能是材料選用及零部件設計的主要依據,由于光熱熔鹽儲罐的設計壽命一般為10萬小時以上,在這種情況下,等得到實驗數據后再進行設計是不現實的。因此,工程中一般采用加速實驗的方法。
測試結果顯示,溫度為593℃時,焊縫的m值較低,表明焊縫在蠕變過程中蠕變損傷的積累較少,從而具有較高的蠕變強度和延展。通過數據擬合,采用外推法確定了593-693℃下的持久強度。593℃時,在10? h時間內,母材的持久強度為147.3Mpa,持久強度隨溫度升高而下降。593℃時,焊縫的持久強度為更高,而隨著溫度的升高,焊縫的持久強度下降更快,693℃時,持久強度低于母材。

表:持久壽命-施加應力擬合數據
周疲勞性能方面,通過國合通測檢測的低周疲勞性能顯示,最大應變為0.20%的酒鋼347H樣品可承受166087次循環測試,為儲罐設計提供了關鍵數據支撐。
光熱發電/熔鹽儲熱領域最關注的熔鹽腐蝕性能則是酒鋼347H產品的核心優勢,測試結果顯示,其在565℃硝酸熔鹽環境中,1000小時腐蝕速率低于0.01mm/a,優于國外同類產品。


圖:酒鋼347H產品熔鹽腐蝕性能測試
目前,酒鋼347H產品已成功應用于玉門新奧“光熱儲能+光伏+風電”項目等10余個重點工程,累計供貨超6180噸。
其中,中核玉門熔鹽儲罐項目于2024年6月投入使用并成功并網發電,標志著國產熔鹽儲罐用鋼的成熟應用。

圖:酒鋼供貨的中核玉門熔鹽儲罐
3
下一代熔鹽儲罐用鋼:高鋁310S的技術突破
面對第三代光熱電站對550-750℃高溫儲熱介質的需求,劉天增透露了酒鋼的相關研發進展,主要研發方向為:1、材料改進,如合金優化和表面防護;2、凈化熔鹽、加Mg作為緩蝕劑等。
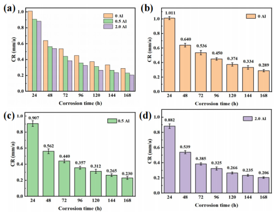
針對現有316L、310S不銹鋼在氯鹽環境中腐蝕速率過高(分別達1.5-2.5mm/a和0.8-1.2mm/a)的問題,酒鋼通過添加Al元素改性,成功開發出高鋁改性310S不銹鋼。
研究表明,鋁元素的加入可顯著改善耐蝕性:2.0Al型號在700℃氯鹽(NaCl-KCl-MgCl?)中,年腐蝕速率降至0.206mm/a,較低鋁型號(0.289mm/a)降低28.7%。其核心機制是形成致密Al2O3保護層及Ni?Al界面層,有效阻擋腐蝕介質侵入。

圖:含Al的310S不銹鋼在700℃氯鹽中的年腐蝕速率:
(a)總圖(b)現場生產低鋁(c)0.5Al(d)2.0Al
在力學性能方面,高鋁310S呈現強度與塑性的平衡:2Al樣品強度高于0.5Al型號,且在700℃時延伸率顯著提升。微觀組織分析顯示,隨鋁含量增加,奧氏體基體中析出相增多,鐵素體含量上升,形成強化機制。
劉天增表示,酒鋼未來將持續推進合金優化與表面防護技術研發,致力于為第三代光熱電站提供更高性能、更低成本的儲熱用鋼解決方案,助力全球新能源產業發展。
注:如需進一步了解酒鋼產品或洽談合作,可與CSPPLAZA工作人員聯系13261472218(微信同號)。
