近日,河海大學能源與電氣學院、新能源學院郭蘇教授團隊在可再生能源多能互補利用研究方面取得新進展,該團隊系統性總結了離網型可再生能源多能互補系統優化規劃方面的最新學術研究進展,并基于文獻計量學方法揭示了該領域全方位的技術路線及主流研究趨勢,有利于推動該領域的科研進展及工程實踐。
以風電、光伏發電為代表的可再生能源發電系統受氣候條件的影響,風電、光伏出力的間歇性導致了供需側不平衡,因此具備削峰填谷功能的儲能技術成為了高比例可再生能源發展的關鍵所在。郭蘇教授團隊針對主流蓄電池儲能價格昂貴且運行壽命短的缺點,提出了基于電加熱器-熔鹽儲熱-汽輪機組的新型儲能系統,并開展了基于熔鹽熱儲能、抽水蓄能、蓄電池、氫儲能等主流儲能技術的可再生能源多能互補系統的容量配置優化及技術經濟性評價研究,通過不同資源/負荷條件下的案例分析驗證了熔鹽熱儲能的技術可行性及經濟成本優越性(該成果已發表于Energy Conversion and Management,2021,229:113779)。

圖:含不同儲能技術的可再生能源多能互補發電系統仿真運行
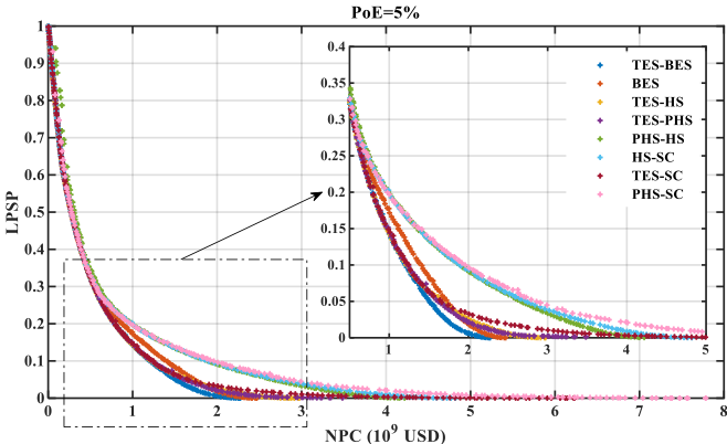
針對單一儲能無法滿足可再生能源發電系統不同凈負荷工況下調節需求的技術難題,提出了考慮多種儲能形式優勢互補的聯合儲能系統,并基于概率性評價指標對比分析了不同聯合儲能系統在多能互補發電系統中的經濟效益,驗證了聯合儲能系統的必要性及性能優越性(該成果已發表于Applied Energy,2022,328:120225)。

圖:含不同聯合儲能的可再生能源多能互補發電系統技術經濟性比較
針對未來100%可再生能源電力系統的可行性設想以及國家層面的整體能源結構轉型企劃,由點到面地進一步研究了中國省級多區域風電、光伏平價上網的潛力評估,以及可再生能源多能互補發電系統承擔基荷的技術經濟可行性,研究發現100%可再生能源系統是技術可行的,但儲能技術的高投資成本以及大量棄電損失是實現100%可再生能源供電系統的主要障礙(該成果已發表于Energy Conversion and Management,2022,268:116037)。

圖:中國省級可再生能源多能互補系統經濟可行性分析
可再生能源系統規劃設計通常從項目投資者角度考慮建成后的系統運行調度對規劃設計的反饋,但少有研究從政府決策者角度考慮能源政策層面與規劃設計的影響機理。為促進離網地區的可再生能源低碳化供電,從政府角度提出了一種碳減排補貼政策促進可再生能源發電技術部署,并研究了能源政策與電力系統規劃設計的相互影響機理與協同優化問題,結果表明所提出碳減排補貼政策可提高可再生能源供電比例至99.23%,并有效減少80.7%的碳排放(該成果已發表于Energy,2023,262:125454)。

圖:低碳能源政策與可再生能源系統規劃設計的影響機理
為促進火電清潔生產,我國各部門紛紛出臺了一系列政策推動火電機組改造,如2022年國家發展改革委員會發布的《關于進一步提升煤電能效和靈活性標準的通知》。為響應國家政策導向,針對現有大容量火電機組的可持續型脫碳轉型問題,提出了基于多能互補系統結構及靈活性棄電制氫思路的火電機組改造方案,并比較分析全國省級不同邊界條件下的可再生能源改造方案與常規碳捕集與封存改造方案的經濟效益,結果驗證了所提出方案的技術經濟可行性。該成果已發表于權威期刊Energy Conversion and Management(2023,290:117232)。

圖:不同燃煤火電機組脫碳方案的經濟可行性對比分析
以上研究成果從能源政策、規劃設計、運行調度等方面為可再生能源多能互補發電系統在不同場景下的實際應用奠定了理論基礎,闡明了可再生能源技術的未來發展方向、從點到面地探索了可再生能源逐步有序替代化石能源的能源結構轉型路徑,從而助力實現碳達峰碳中和。以上研究工作得到了國家重點研發計劃課題、國家自然科學基金、江蘇省自然科學基金、江蘇省科技計劃“港澳臺科技合作”專項等項目支持,并成功應用于海西州多能互補集成優化示范工程等。
此次研究成果以“A state-of-the-art review and bibliometric analysis on the sizing optimization of off-grid hybrid renewable energy systems”為題發表于能源領域權威期刊《Renewable and Sustainable Energy Reviews》(IF:15.9,中科院一區TOP期刊),論文第一作者為博士研究生何意,通訊作者為郭蘇教授。
