摘要:風力發電和光熱發電在多數工業化國家中應用廣泛,但風力發電存在不穩定和波動等問題。光熱發電的熱儲存能力可以有效減少風力發電的不穩定性,因此建立了風力發電與光熱發電聯合運行的模型。其中聯合運行策略用兩階段隨機優化模型來表示,其目的是在考慮實時不平衡結算的情況下,將日前市場收入最大化。為了更加直觀地展示該模型給電網帶來的經濟效益,分別建立了風力發電與光熱發電獨立運行和聯合運行2種情況下的模型,并通過算例對兩者的總收益進行對比。算例表明,風力發電與光熱發電聯合運行系統可以有效地緩解實時不平衡問題,并明顯提高了收益。
引言
近年來,隨著全球工業化進程的加快,為實現經濟的可持續發展,對新能源發電技術的研究與應用勢在必行。風能和光能都是自然界中蘊藏量豐富的可再生資源,充分利用風能、光能對于緩解人類能源危機具有重大意義。然而,風能的波動性和不穩定性對電力系統正常運行產生了嚴重的影響,這極大地削弱了新能源在電力市場的競爭力。光熱技術能彌補其他可再生能源技術的部分缺陷,在可再生能源領域達到互補作用。風能和光能單獨發電穩定性較差,且輸出功率波動較大,無法保證電力系統的穩定性和可靠性。而風光聯合運行則能夠綜合利用風能和光能特性使兩者實現互補。
與風能和光能單獨發電相比,可以提高能源利用效率,促進我國節能減排事業的發展,進一步增強可再生能源的市場競爭力。目前,對于風光聯合運行的研究方向,主要有光熱發電系統的最優運行與其容量問題,及風光聯合運行的調度方法。多數風能與太陽能混合發電的研究方向是太陽能熱氣流發電與風力發電的混合運行,以及風光互補發電系統,并指出風光互補發電系統的資源利用率比獨立運行的分布式發電系統高26%~40%。文獻研究了光熱儲能和風力發電聯合運行的成本及調度問題,主要對發電成本、功率波動等方面進行了優化。此類文獻主要集中在光熱發電的優化或風光混合發電系統的成本優化問題上,很少考慮到風光聯合運行給電網帶來的經濟效益。
本文介紹了電力市場的交易價格機制,及風力發電與光熱發電聯合運行的框架。分別建立了風力發電與光熱發電獨立運行和二者聯合運行2種情況下的模型,通過仿真算例驗證模型的可行性和合理性。通過對比獨立運行和聯合運行給電網帶來的經濟效益,得出結論。
1、風力發電與光熱發電聯合運行模式
1.1、市場交易價格機制
本文基于日前市場和平衡市場這兩種短期電力市場進行討論。在日前市場中,發電企業提供其每小時需供應電量的數據,操作員提供一種以成本為導向的經濟調度算法來進行市場結算。而平衡市場將日前市場中實時發電量與市場出清量的偏差定義為不平衡價格,根據偏差選取合適的價格,以此來減小系統的不平衡。當實際發電量小于出清量時,不平衡價格為負,即生產不足,發電企業需支付負不平衡價格的偏差;當實際發電量大于出清量時,不平衡價格為正,即生產過剩,發電企業需支付正不平衡價格的偏差。
本文對平衡市場采用雙價格機制,與單一價格機制相比,前者考慮了不平衡價格的正負,更有利于系統恢復平衡。平衡市場雙價格機制可表述為

式中:μt+,μt-,μDA,t和μRT,t分別為時間間隔t的正不平衡價格、負不平衡價格、日前市場價格和平衡市場價格。
在雙價格機制下,電價取決于不平衡價格的正負。與整個系統不平衡方向相反的偏差,按日前市場價格定價;與整個系統不平衡方向相同的偏差,按平衡市場價格定價。即正不平衡價格不高于日前市場價格,負不平衡價格不低于日前市場價格。
1.2、聯合運行模式
基于上述交易機制,在發電量和市場價格不確定的情況下,風力發電企業在日前市場提交報價,將導致不平衡結算的利潤損失。因此,發電企業的最優報價策略是在日前市場的利潤和平衡市場的不平衡成本之間進行權衡。由于不平衡電價往往表現出波動性且難以預測,因此尋求降低實時出力不確定性的方法是風力發電企業實現市場利潤最大化的關鍵。光熱發電能夠有效抑制風力發電實時出力的不確定性,二者如果聯運都將得到激勵。
圖1為風力發電廠與光熱發電廠聯合運行結構。

圖1風力發電與光熱發電聯合運行模式
Fig.1 Joint operation mode of wind power and CSP
2、風力發電與光熱發電聯合運行模型
在建立的仿真模型中,提出下列假設。
(1)實時風力發電量、光熱發電量和電價的不確定性具有一系列情景特征。
(2)日前市場電價可由預測得出,并認為風力發電廠和光熱發電廠是價格接受者。
本文分別建立了多座風力發電廠與光熱發電廠獨立運行和聯合運行的仿真模型,將二者收益進行對比。
2.1、獨立運行策略
2.1.1 風力發電廠運行策略
風力發電廠m的供應策略可表述為以下兩階段隨機優化模型:

式中:Lm WPP為風力發電廠的收入,元;t為時間,h;s為場景參數;T和I分別為時間集合和情景集合;DA代表日前市場;WPP代表風力發電廠;λs為情景參數的權重;PWPP,PWPP+和PWPP-為特定情境下風力發電廠的輸出功率和實時正、負不平衡功率,MW。
上述目標函數旨在最大化風力發電廠的市場收入LWPP m。式(4)限制了風力發電廠日前供應電量的最大值,式(5)計算了日前供應輸出的正負偏差,式(6)和(7)限制輸出偏差。
2.1.2 光熱發電廠運行策略
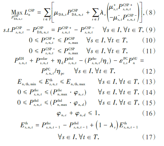
光熱發電廠n的供應策略可表述為以下兩階段隨機優化模型:

式中:Ln CSP為光熱發電廠的收入,元;CSP,EH,PC分別表示光熱發電廠、電加熱器和光熱發電廠的能量循環;PCSP,PCSP+和PCSP-為特定情境下光熱發電廠的輸出功率和實時正、負不平衡功率,MW;PEH和Psolar為電加熱器和太陽場的熱功率,MW;Pthc和Pthd分別為熱能儲存系統的充、放電熱功率,MW;PSU為光熱發電廠啟動時的能耗,MW;ηc和ηd分別為熱儲能系統的充、放電效率;ηPC和ηEH為能量循環和電加熱器的轉換效率;εPC為光熱發電廠的能量循環啟動狀態時的二進制變量;En,th,max和En,th,min為熱儲能系統的最大和最小充電狀態,MW;φn,c和φn,d分別為光熱發電廠充、放電狀態下的二進制變量。
式(12)表示光熱發電廠熱能的瞬時平衡,式(13)表示可行的操作間隔,式(14)和(15)限制了操作范圍內的充放電率,式(16)確保充放電狀態不會同時發生,式(17)限制了熱能儲存的充電量,式(18)限制了能量循環的輸出功率,式(19)計算了帶有熱儲能設備和電熱器的光熱發電的凈功率輸出。
2.2 聯合運行策略
風力發電廠和光熱發電廠的聯合運行策略可表述為以下兩階段隨機優化模型。

式中:Lsum為風力發電廠和光熱發電廠的總收入;上標sum表示聯合運行中的變量;?為所有風電力發廠和光熱發電廠的集合。約束條件為式(12)—(19)。上述聯合供應策略中,式(22)計算了聯合供應中的不平衡量。
3、算例分析
本文研究了3座風力發電廠和1座光熱發電廠的聯合運行策略,分別表示為WPP1,WPP2,WPP3和CSP。風力發電廠裝機容量分別為500 MW,300MW和200 MW。光熱發電廠技術參數見表1。

表1 光熱發電廠技術參數
Table 1 Parameters of PV power plants
為了驗證提出模型的準確性和可行性,本文對比了風力發電廠與光熱發電廠在獨立運行和聯合運行時的收益。先分別計算出WPP1,WPP2,WPP3和CSP獨立運行時的預期收益,再將四者聯合運行,得出此時的預期收益。最后對2種運行模式下的收益進行對比分析,結果見表2。

表2 獨立運行和聯合運行的預期收益
由表2可見,聯合運行的預期收益比獨立運行高出4000元。由于風光聯合運行系統有效地利用了風能和光能的特性,使兩者實現互補。這意味著一種更有效的運行模式,在非高峰時期儲存風能,在高峰時段或風力發電商處于負不平衡狀態時利用額外的風力發電并增加供電量,通過這種方式來提升聯合運行的總預期收益。
4、結論
提出了一種考慮實時不平衡結算的風力發電廠與光熱發電廠在日前市場聯合運行的最優策略。首先介紹了電力市場的交易價格機制和風光聯合運行系統的框架,分別建立了風力發電廠與光熱發電廠在獨立運行和聯合運行的模型,最后以3座風力發電廠和1座光熱發電廠為例,通過仿真分析,驗證了風光聯合運行系統的可行性和準確性。與獨立運行相比,風光聯合運行有效地緩解了風力發電與光熱發電的波動性和不確定性,并提高發電系統的可靠性和資源的利用率,從而提高經濟收益。
注:本文轉自《綜合智慧能源》期刊,聯合作者為華北電力大學新能源電力系統國家重點實驗室潘麗、王劍曉、李庚銀,清華大學低碳能源實驗室杜爾順。轉載此文是出于傳遞更多信息之目的,若有來源標注錯誤或侵犯了您的合法權益,請作者與本網聯系。
