摘要:采用全三維熱固耦合分析方法對光熱發電(CSP)汽輪機本體進行了數值分析,并對汽輪機脹差控制、汽輪機熱變形控制以及汽輪機全生命周期的壽命管理進行分析,從而優化汽輪機本體結構設計。通過分析計算,選擇合理的本體結構布局以及動靜間隙,以滿足光熱發電汽輪機頻繁啟停靈活性,指導光熱發電汽輪機的設計及現場運行。
0引言
隨著環境污染與人類生存矛盾日益凸顯,太陽能綠色、無污染、可再生等特點,使得光熱發電成為電力行業綠色發展的一個趨勢。與傳統能源相比,太陽能熱發電具有明顯的環境優勢,每10 MW的太陽能熱發電站將減排二氧化碳350000 t/年,并且在其運行期間沒有固體垃圾產生。
太陽能光熱發電項目受太陽能光照影響,存在負荷變化頻繁的特點,同時由于太陽能只在白天存在,即使使用儲熱技術也不可能保證機組能全天24 h運行,因此機組每天必然存在停機及熱態啟動的問題。特別是為響應國家電力“削峰填谷”的要求,更需要光熱發電汽輪機每天都具有“兩次調峰”的能力,也就是為了調整用電高峰,光熱汽輪機每天需滿足兩次啟停的要求。這就要求光熱發電汽輪機必須具有頻繁啟停的能力。同時,太陽能發電蒸汽產生的費用特別高,必須考慮機組能在盡可能少的耗汽量下,充分利用太陽能,短時間內完成機組啟動,故汽輪機應具有快速啟動的能力。
本文對實現光熱發電汽輪機快速啟動、頻繁啟停的3個最核心的問題,即汽輪機脹差控制、汽輪機熱變形控制以及汽輪機全生命周期的壽命管理進行了分析。
1脹差控制技術
1.1全三維熱固耦合分析,研究各種工況動靜脹差
汽輪機動靜部件脹差產生的根源在于,在受到蒸汽加熱時,汽輪機轉子和汽輪機靜子這兩類部件接觸的蒸汽參數有別、接觸表面面積大小有別、換熱系數有別、部件整體熱容量有別、部件熱膨脹系數有別等。當機組運行時,轉子部件和靜子部件的整體熱膨脹值存在差異,特別是機組在快速啟停過程中這個差值尤其顯著,因此必須在汽輪機機組軸向的動靜間隙設計時充分考慮差值,否則會造成動靜碰磨的嚴重事故。
1.2計算分析
為了應對光熱汽輪機快速啟停的要求,必須充分分析機組在快速啟停過程中的膨脹變化,以確定汽輪機機組軸向動靜間隙設計的合理性。由于汽輪機脹差最大值一般是出現在機組快速啟動階段,這是一個動態過程,所以需要對機組進行以時間域為基礎的動態分析。基于此,首先建立全三維的流固分析模型(見圖1),并根據熱力計算所確定的邊界條件、機組啟動狀態和啟動曲線(見圖2)設置模型相應邊界條件(見圖3)[1]。

圖1全三維流固模型

圖2汽輪機啟動曲線

圖3邊界條件示意圖
1.3計算結果
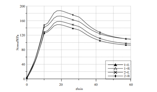
首先,計算出整體機組啟停過程中隨時間變化的流場、轉子溫度場、靜子溫度場的分布和溫度隨時間變化的數據,如圖4、圖5所示。然后,提取轉子和靜子隨時間和溫度場變化的膨脹值并進行對比分析,兩者之間的差值即為機組整個啟停過程中的脹差值(脹差值Δf??=f?-f?),如圖6所示。機組設計時就根據全三維流固耦合計算所得的機組脹差進行軸向間隙的設計,確保機組既能快速啟停又具有足夠的經濟性[2]。

圖4轉子溫度場變化

圖5靜子溫度場變化

圖6脹差值計算圖
2汽輪機熱變形和熱應力控制技術
2.1進汽參數匹配技術
汽輪機在運行過程中熱變形不可控的狀態多是發生在蒸汽與機組金屬溫度不匹配時。進汽參數的不匹配會引起機組局部驟冷驟熱,熱應力過大,部件劇烈變形,更有甚者會在部件表面產生裂紋。隨著時間的推移,應力集中,裂紋擴展,會引發部件損壞。
為了避免進汽參數不匹配的問題,對機組啟動過程中的瞬態溫度場進行了詳細分析。然后基于機組溫度場分布和溫度場隨時間變化的過程,提出了與之匹配的進汽參數管控方法,使蒸汽溫度盡量與金屬表面形成正匹配,即蒸汽溫度高于金屬表面溫度,并形成穩定的溫差。最后使金屬表面溫度高于金屬軸心溫度,形成正匹配和穩定溫差。這樣可以有效控制機組熱變形在預設范圍,降低溫度應力,縮短啟動時間。
2.2采用節流配汽,切向進汽,減少熱不對稱
根據太陽能光熱發電運行的特點,太陽能光熱發電汽輪機均采用滑參數運行的方式,而滑參數運行采用節流配汽可更好相互匹配。采用節流配汽,實現全周進汽,通流部件在周向上均勻地與蒸汽接觸,不存在不均勻的可能,部件的熱應力更小,更有利于快速啟動。進汽蝸殼結構設計如圖7所示。在最大負荷時,應考慮機組的超壓運行能力,使進汽壓力高于額定設計壓力運行,保證機組的能力工況,從而保證機組的長期安全高效運行。

圖7進汽蝸殼結構示意圖
從模型的分析結果可以看出,由于機組采用雙蝸殼切向進汽、全周進汽的形式,機組對稱性好,整個結構在周向熱應力分布均勻,如圖8所示。在啟動過程中,機組不會因為結構差異導致熱容量差異過大、熱應力過大、熱變形不均,從而限制啟動的快速性[3]。

圖8進汽蝸殼熱應力分析
2.3機組結構設計盡量保持機組的對稱性
2.3.1整機對稱設計
機組整體設計和閥門布置均考慮對稱性布置,所有熱部件在設計之初均會考慮設計成對稱結構。在充分考慮機組左右對稱的前提下,還在天地方向設計了熱變形控制筋,以保證在機組膨脹時不僅左右對稱,而且在天地方向也盡量保持對稱。該種設計有效控制了熱變形的方向,做到了熱變形可控,提升了機組啟動速度。機組整體布置如圖9所示。

圖9機組整體布置圖
2.3.2高壓內缸采用筒型缸結構
高壓內缸采用筒型缸紅套環結構,如圖10所示。取消傳統法蘭設計后,高壓模塊對稱性高、汽缸壁厚均勻,在啟停過程中不會出現周向的熱不均勻性,可以有效控制汽缸熱變形在周向分布,熱應力也相對較小,對汽輪機快速啟停和變負荷工況適應性好[4]。

圖10高壓內缸
2.3.3外缸采用窄高法蘭、薄壁缸結構
汽輪機外缸設計成等強度壁厚,以減小汽缸壁厚。汽缸設計時采用對稱結構,如圖11所示。中分面螺栓盡可能靠近汽缸內壁,使法蘭和螺栓比較容易加熱和膨脹,減少其內外溫差造成的熱應力。該思路設計的汽輪機外缸,既保證了強度要求,又有利于機組熱膨脹可控的需求,為汽輪機快速啟停和變負荷的要求提供了有力支撐[4]。

圖11外缸
3全生命周期的壽命管理技術
汽輪機轉子壽命損耗主要分為兩個部分:(1)由啟停產生的熱應力變化引起的低周疲勞損耗;(2)由高溫蠕變疲勞產生的壽命損耗。
在汽輪機啟動和升負荷過程中,轉子是處于被加熱的過程,其外表面的膨脹受到約束,承受壓應力;在停機和減負荷過程中,轉子外表面承受拉應力。在一個完整的啟停和變負荷過程中,轉子外表面所承受的熱應力是交變過程。機組在頻繁啟停和變負荷運行工況下,轉子表面將受到多次交變應力的作用,經過一定數量的循環周次,將會使轉子表面出現疲勞裂紋,并逐步擴展,這種交變應力所引起的損傷,即為低周疲勞損傷。汽輪機在啟、停和工況變化時要承受溫度循環,大幅度的溫度變化使轉子內外表面產生溫度差,造成了比較高的熱應力水平,熱應力又是造成轉子材料低周疲勞的主要原因。高溫蠕變損耗是指汽輪機轉子材料在高溫和應力作用下產生塑性變形,蠕變損傷的大小和轉子工作溫度及運時轉子離心力大小有關。
為了確保機組全生命周期的壽命得到有效的管理,并且確保在壽命保證年限內壽命損耗不至于超限,必須對轉子壽命進行分析,同時盡可能優化啟動過程,提高啟動的速率。
由于汽輪機轉子是高速旋轉的設備,目前還沒有直接測量轉子金屬溫度和熱應力的有效手段,這就需要通過建立一個相應的數學模型,以測量汽輪機在啟停過程中的相關參數,如蒸汽流量、蒸汽溫度等。同時利用理論計算來求得汽輪機轉子在啟停過程中的金屬內部溫度梯度和熱應力,并以此來計算過程中壽命的損耗,核算的準確度就依賴于該數學模型。采用有限單元法將汽輪機轉子視為二維軸對稱模型,如圖12所示。采用有限元將汽輪機轉子的復雜幾何形狀離散化,用一系列代數方程代替微分方程,并考慮汽輪機轉子表面的放熱系數和轉子金屬的物理特性會隨啟停過程時間變化而變化來進行處理,如圖13所示。

圖12轉子模型及其溫度場

圖13轉子應力計算結果
由圖13可知,高壓轉子在啟動過程中最大應力集中在機組高壓進汽段直徑突變的根部。這主要是因為此處存在平衡轉子推力的大直徑汽封段,該段直接過大熱容量較其他部分更大,更容易發生應力集中,同時該處本生存在階梯過渡的結構應力集中部分,兩相疊加,就造成了該處應力是整根轉子的最大處。為了研究該處應力隨機組啟動過程的變化特性,優化啟動過程,將應力隨時間變化的趨勢整理為相應曲線,如圖14所示[5]。

圖14轉子應力變化曲線
由圖14可知,在20 min左右,等效應力曲線出現了一個明顯的折點,該時刻應力最大。對比啟動曲線,該時刻為機組完成啟動定速開始帶負荷的時段。折點前,機械應力隨著轉速快速升高而急劇增大,并在此后保持不變;折點處熱應力和機械應力都達到最大值,成為轉子損耗最關鍵的點。
針對該種情況,對啟動過程進行優化。在啟動升轉速的過程中,機組的熱應力較小,機械應力隨著轉速的增加而增加。這主要是由于進汽量較小,轉子熱膨脹過慢,導致后期升負荷且蒸汽流量劇烈增加時,轉子熱應力急劇增加,推高了機組轉子的應力水平。所以,優化啟動過程的方向是縮短升速過程,使轉子盡量快定速,然后減緩機組帶負荷的速率,延長低負荷暖機的時間,削掉熱應力的陡峰,降低轉子在整個啟動過程中的應力水平。這樣的優化既縮短了機組的整體啟動時間,又達到了降低轉子壽命損耗的目的。
為了掌握轉子在不同工況啟動時的應力和應變,還需要通過應力和應變推算壽命損害。由不同應變幅和相應的失效循環數建立起來的關系曲線被稱之為低周疲勞壽命曲線。經應力分析,確定了轉子局部最大應力和應變之后,便可借助低周疲勞壽命曲線估算出轉子的疲勞壽命消耗。通常低周疲勞壽命曲線采用Manson-Coffin形式公式來表達,本文采用應變-疲勞壽命方程計算低周疲勞壽命,然后根據壽命方程計算所得繪制壽命曲線,如圖15所示。
利用圖15的曲線,再結合有限元分析的轉子應力和應變結果,可以得到機組每次啟動的轉子壽命損耗量,然后對全生命周期進行統計,實現在轉子全生命周期內轉子壽命損耗可控。

圖15轉子壽命損耗曲線
4結語
本文分析了實現光熱發電汽輪機快速啟動、頻繁啟停的3個最核心問題,即汽輪機脹差控制、汽輪機熱變形控制以及汽輪機全生命周期的壽命管理。通過相關分析,為光熱汽輪機的設計提供了理論依據。本文的研究結果對光熱汽輪機的調試運行具有指導意義。
參考文獻
[1]黃延忠.渦輪泵轉子熱固耦合疲勞特性研究[D].哈爾濱:哈爾濱工業大學,2021.
[2]彭鵬.結構在約束下的數值模擬[D].上海:上海交通大學,2009.
[3]朱自強.應用計算流體力學[M].北京:北京航空航天大學出版社,1998.
[4]陳貝貝,章艷,陳海峰,等.光熱汽輪機汽缸的低周疲勞壽命研究與預測[J].東方汽輪機,2020(2):1-5+10.
[5]丁有宇.汽輪機強度計算手冊[M].北京:中國電力出版社,2010.
本文轉自《自動化應用》,原標題《光熱發電汽輪機頻繁啟停靈活性研究》;
作者:趙錦,劉雄,岳書培,張鵬飛,吳方松,廖上斌,孫浩云(東方汽輪機有限公司,四川德陽618000)
作者簡介:趙錦,男,1988年生,工程師,從事工業汽輪機設計方面的工作。
